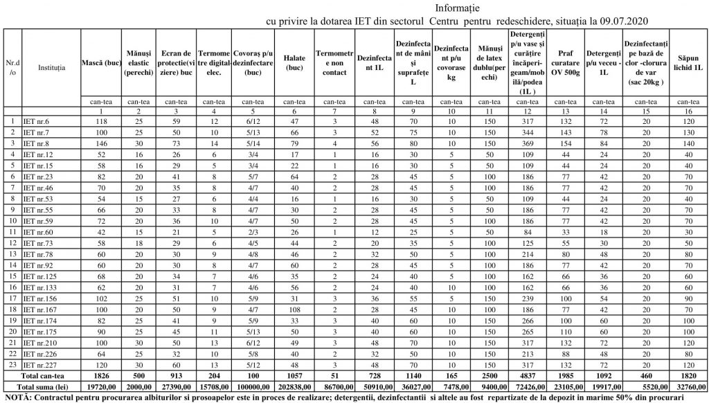
Informație pentru redeschidere IET DETS Centru